카카오 채널

어린이 요가, 집중력 키우고 학교 성적까지 향상

김성은 | Carissa Marie 2023-05-16 00:00:00

요가가 어린이에게 미치는 긍정적 이점 11가지
요가 수련을 하면서 실수에 대한 두려움 없이 놀이를 즐기고 집중할 수 있게 된다. 미니요기스스튜디오
요가 수련을 하면서 실수에 대한 두려움 없이 놀이를 즐기고 집중할 수 있게 된다. 미니요기스스튜디오

최근 미국에서는 학교 방과후 프로그램으로 요가가 인기를 쓸고 있다. 캘리포니아주에 위치한 하트해피요가 설립자 크리스티나 에네킹은 “요가를 정기적으로 하면 스트레스 완화부터 자신감 향상에 이르기까지 어린이에게 다양한 효과가 있다”고 말했다. 에네킹에 따르면, 요가는 자아발견, 호기심, 행동개선, 학업성취도 향상과도 관련 있다.

요가의 가장 큰 장점 중 하나는 개인 트레이너나 정교한 장비 없이도 어디서든 할 수 있다는 점이다. 엄마와 자녀가 함께 집안에서 할 수 있는 운동이기도 하다. 전문가들은 요가가 어린이들이 일상생활의 어려움을 극복할 수 있도록 도와준다고 말한다.

요가, 자존감 키워줘

어린이 요가 수업을 운영하는 캘리포니아의 미니 요기스 스튜디오 설립자 샤나 마이어슨은 요가가 자존감과 자존감을 키워준다고 주장한다. 그는 “요가 수련을 하면서 실수에 대한 두려움 없이 놀이를 즐기고 집중할 수 있게 된다”고 설명했다.

에네킹에 따르면 요가는 미래를 위한 기초 역할을 한다. 요가는 아이들이 인내심을 갖고 목표를 향해 노력하도록 장려한다. 새로운 자세나 기술을 익히면서 스스로 노력으로 성취했다는 것을 알게 된다. 그 결과 자신감이 급증하고 자존감이 향상된다.

근력과 유연성 향상시켜

요가는 체력과 운동 능력을 향상해 아이들이 다양한 방식으로 근육을 사용할 수 있게 된다. 미국소아과학회(AAP)는 “서 있거나 앉거나 누워서 하는 자세는 각각 다른 근육을 쓰게 해 신체 인식과 기능을 동시에 향상시킨다”라고 말했다.

매주 2회, 45분씩 12주 동안 정기적으로 요가를 한 6~8세 어린이를 추적 조사한 한 연구에 따르면 균형과 근력, 유연성 등 전반적인 운동능력 점수가 유의미하고 긍정적으로 변화했다.

다른 신체 활동의 기초 돼

미소아과학회
미소아과학회

자녀가 축구, 수영 또는 다른 스포츠에 관심이 많다면, 요가를 기초 운동으로 습득하게 하는 것도 좋다. 요가는 다른 신체 활동에서도 뛰어난 능력을 발휘하게 해준다. AAP에 따르면 요가를 하면 달리기 선수는 엉덩이, 다리, 아킬레스건이 강화되고 스트레칭을 하게 되며 야구 선수는 팔과 상체 근육을 강화할 수 있다. 체조 선수는 유연성, 균형감각, 집중력을 향상시킬 수 있다.

균형 감각과 협응력 길러줘

연구에 따르면 요가는 어린이의 균형 감각 향상과도 관련이 있다. 균형에 중점을 둔 자세가 많은 탓에 이를 연습하면서 신체적으로 안정감을 찾고 정신은 명료해진다. 예를 들어 한 다리로 나무 자세를 시도하는 동안 몸이 조금씩 흔들리면서도 포기하지 않고 평정심을 유지하는 법을 배운다. 요가와 관련된 또 다른 특성인 협응력은 대근육 및 소근육 운동 능력의 전반적인 숙련도와 관련이 있다.

"요가를 정서적, 정신적, 신체적, 행동적 건강 문제를 다루는 어린이에게

안전하고 잠재적으로 유익한 치료법으로 지지한다“

-미국소아과학회(AAP)

집중력 길러줘

자세를 유지하거나 심호흡을 하면서 머릿속이 맑아진다. 결과적으로 아이들은 당면한 과제에 집중하는 법을 배운다. 해외학술지 《근거중심 보완대체의학》에 게재된 연구에 따르면 요가는 기억력 향상과 학업 성취에 중요한 집중력 향상과 관련이 있는 것으로 나타났다. 브라질의 세르기페연방대학 신경생리학연구소 페레이라 보르카픽 교수는 “요가를 한 아이들과 대조군을 비교한 결과 긴장과 불안, 자존감, 기억력에 대한 효과가 발견됐다”고 말했다.

학생들의 학업 성취도 향상

요가가 집중력과 정신력을 높인다는 점을 고려하면 청소년의 학업 성취도 향상과 관련이 있다는 사실은 놀라운 일이 아니다. 스트레스 수준이 낮은 학생들이 학업 성적이 더 좋았다는 연구 결과도 있다.

관련 연구결과를 발표한 인도 MGN교육대학의 아미트 카우츠 교장은 “요가를 연습한 학생들의 학업 성적이 더 좋았다. 스트레스가 낮은 학생이 스트레스가 높은 학생보다 학업 성적이 더 뛰어났다”며 “요가의 스트레스 완화 기능이 원인일 수 있다”고 설명했다. 요가로 불안을 줄이고 문제 해결 능력이 향상됐다는 분석도 제기됐다.

또 다른 연구에 따르면 요가는 실행기능을 향상시킬 수 있는데, 연구진은 이를 ‘집중하고 생각해야 할 때, 충동에 따라 행동하는 것이 현명하지 않을 수 있을 때 필요한 인지 통제기능’이라고 정의한다. 학교 생활과 직업에서 꼭 필요한 기능이다.

몸과 마음을 편안하게

미소아과학회
미소아과학회

요가를 통해 아이들은 균형 잡힌 몸과 마음을 기를 수 있다.

영유아 및 어린이를 위한 스위트피요가 스튜디오의 설립자이자 요가 강사 알렉산드라 드 콜리부스는 “부모로서 아이들이 마음챙김과 연민을 가지고 행동하고, 용기를 발휘하고, 사랑과 행복을 알고, 내면의 평화를 발견하기를 열망한다”라며 “아이들이 주변 사람들을 따라잡기 위해 온갖 종류의 개인적, 부모적, 사회적 압박을 느낀다. 요가는 압력을 줄이고 몸과 마음을 이완하는 역할을 한다”라고 설명했다.

스트레스 관리에 도움 돼

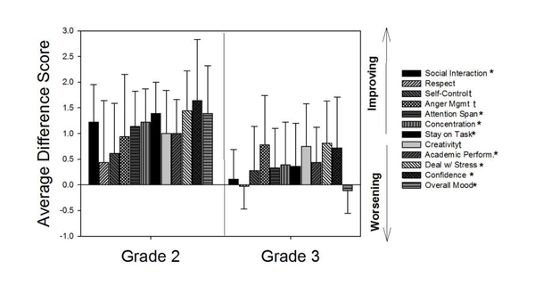
이완, 호흡, 스트레칭을 하는 덕분에 긴장 완화를 돕는다. 한 연구에서는 초등학교 2학년과 3학년 교실에 10주간의 요가 프로그램을 도입한 결과, 행동이 개선되고 코르티솔 수치가 감소한 것으로 나타났다.

요가 개입 1주차와 10주차의 기준선 코르티솔에 대한 등급과 시간 간의 상호 작용. PMC저널 2학년과 3학년 학생의 교사 평가 행동의 차이. 별표(*)는 학년(2학년 대 3학년)과 시간(1주차 대 10주차) 간에 통계적으로 유의미한 상호작용이 있음을 나타낸다. PMC저널
요가 개입 1주차와 10주차의 기준선 코르티솔에 대한 등급과 시간 간의 상호 작용. PMC저널 2학년과 3학년 학생의 교사 평가 행동의 차이. 별표(*)는 학년(2학년 대 3학년)과 시간(1주차 대 10주차) 간에 통계적으로 유의미한 상호작용이 있음을 나타낸다. PMC저널

 

연구를 진행한 하버드의과대학 브리검앤위민스병원의 베서니 버처 박사는 “학교 기반 요가 프로그램이 학생들의 스트레스 관리와 행동 관리에 유리할 수 있다는 것을 시사한다”며 “이러한 스트레스 해소 기법은 학교와 그밖의 생활 전반에 걸쳐 적용될 수 있으며, 장기적으로 정신적, 육체적 건강을 개선한다”고 말했다.

2학년과 3학년 학생의 교사 평가 행동의 차이. 별표(*)는 학년(2학년 대 3학년)과 시간(1주차 대 10주차) 간에 통계적으로 유의미한 상호작용이 있음을 나타낸다. PMC저널 ADHD 아동 대상 요가, 명상 등의 프로그램을 실시한 뒤 수행장애점수가 6주만에 개선됐다.
2학년과 3학년 학생의 교사 평가 행동의 차이. 별표(*)는 학년(2학년 대 3학년)과 시간(1주차 대 10주차) 간에 통계적으로 유의미한 상호작용이 있음을 나타낸다. PMC저널 ADHD 아동 대상 요가, 명상 등의 프로그램을 실시한 뒤 수행장애점수가 6주만에 개선됐다.

ADHD

증상 완화

AAP는 요가를 주의력결핍과잉행동장애(ADHD)를 포함한 정서적, 정신적, 신체적, 행동적 건강 문제를 겪고 있는 어린이에게 안전하고 잠재적으로 유익한 치료법으로 지지했다. 특히 요가는 ADHD 아동의 증상 관리와 학교 성적 향상에 도움이 될 수 있다.

ADHD 아동 대상 요가, 명상 등의 프로그램을 실시한 뒤 수행장애점수가 6주만에 개선됐다.
ADHD 아동 대상 요가, 명상 등의 프로그램을 실시한 뒤 수행장애점수가 6주만에 개선됐다.

 

한 연구에 따르면 요가는 부주의, 과잉행동, 충동성, 불안, 인지기능과 같은 ADHD 핵심 증상을 개선하는 것으로 나타났다. 또 다른 연구에서는 1년 동안 정기적으로 요가를 시작한 6~11세 ADHD 아동을 추적한 결과 1년 내내 요가를 꾸준히 한 학생들의 학업 성적이 크게 향상되었다.

자폐아동, 요가로 차분해져

자폐아도 요가의 긍정적 영향을 받았다. 미국 《작업치료학》 저널에 실린 한 연구에서는 16주간의 교내 요가 프로그램이 자폐스펙트럼장애(ASD) 아동에게 미치는 영향을 평가했다.

연구를 진행한 뉴욕대학 작업치료학과 크리스티 패튼 교수에 따르면 매일 교실에서 요가 수업을 하면서 자폐 아동의 주요 교실 행동에 변화가 일었다. 요가 수련을 시작한 후 아이들은 더 차분한 상태를 유지했다. 또한 불안과 사회적 위축, 공격성 수준도 개선됐다.

전반적인 건강 향상

신체 기능은 서로 연결되어 있어 요가는 어린이에게 놀라운 건강상의 이점을 제공한다. AAP에 따르면 소화기능이 활성화되고 호르몬 균형, 과민성대장증후군 증상 완화, 혈당 수치 조절, 변비 개선, 인슐린 수치 균형 유지 등의 이점이 있다.

Copyright ⓒ 아이이뉴스 무단 전재 및 재배포 금지

교육뉴스 뉴스